Please note the BPI warehouse will close at 12pm on Friday 20th March. Normal hours resume Monday 23rd March.

Business & Assets of Edge Protection Contractor

BPI Asset Advisory is urgently seeking expressions of interest in the Business & Assets of an Edge Protection Contractor

Icon Email Us
Icon 01924 245040

Information

Information

Business

The company was incorporated in May 1991 and is a founding member of the Edge Protection Federation.  The company provides safe and flexible edge protection systems to steel frames buildings within the roofing industry.  Services include safety netting, temporary and permanent edge protection, access towers, lifeline systems, walkway systems and temporary demarcation systems.

Premises
The Company operates from leasehold premises in South Yorkshire, England.  The premises provides approximately 7,210 square feet of warehousing and offices space.

Current Rent: £4,000 pcm

(Landlord amenable to lease negotiations)

Financial Highlights
2022 – Turnover £1.274m. – Profit £99,181
2023 – Turnover £1.239m (£12,660)
2024 – Turnover £1.078m (£104,492)

Employees

  • Contracts Director/Contracts Manager
  • 2 Warehouse/Testing Staff
  • 8 Site Erectors

Unencumbered and Encumbered Transport Fleet including:

  • 3 DAF LF Flatbed Wagons (2015 – 2021)
  • 4 Panel Vans by Ford, Mercedes ad Vauxhall (2016 – 2022)
  • Toyota Forklift Truck
  • AML Z3 X500 Tensile Test Machine
  • Stock including:125,000 sqm of Safety Netting, 1078 Aluminium Scaffold Tubes (20 ft & 4m), Bespoke Fittings & Clamps and On Hire Tubing, Clamps etc.

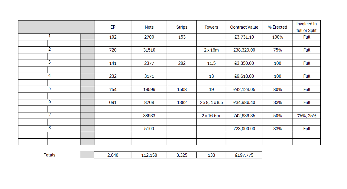
Live Contracts

  • 8 Live Contracts; Estimated Invoice Value £197,775
  • Remaining Balance: £75,00
  • See Gallery image for more information

Order Book

  • February: £125,000
  • March/April: £162,000
  • (Additional £150,000 of Works Quoted)

Offer Deadline: We are requesting indicative proposals, supported by proof of funding, by no later than 4pm (GMT) on 11 February 2026 with the view to completing a sale of the Company’s business and assets as soon as possible thereafter.

For further information, and to receive an NDA please email carol.allen@bpiaa.com

Get in touch about selling your business assets.

Our Partners

With your BPI
account you can:

Fee Calculator

Fee Calculator

Enter the details below to calculate your total costs.

Calculate your costs

Total Costs

X